There are many kinds of damage caused by collisions.Therefore, the appropriate repair method for the damage should be selected. This section outlines repair methods of major damage and how to use the main tools.
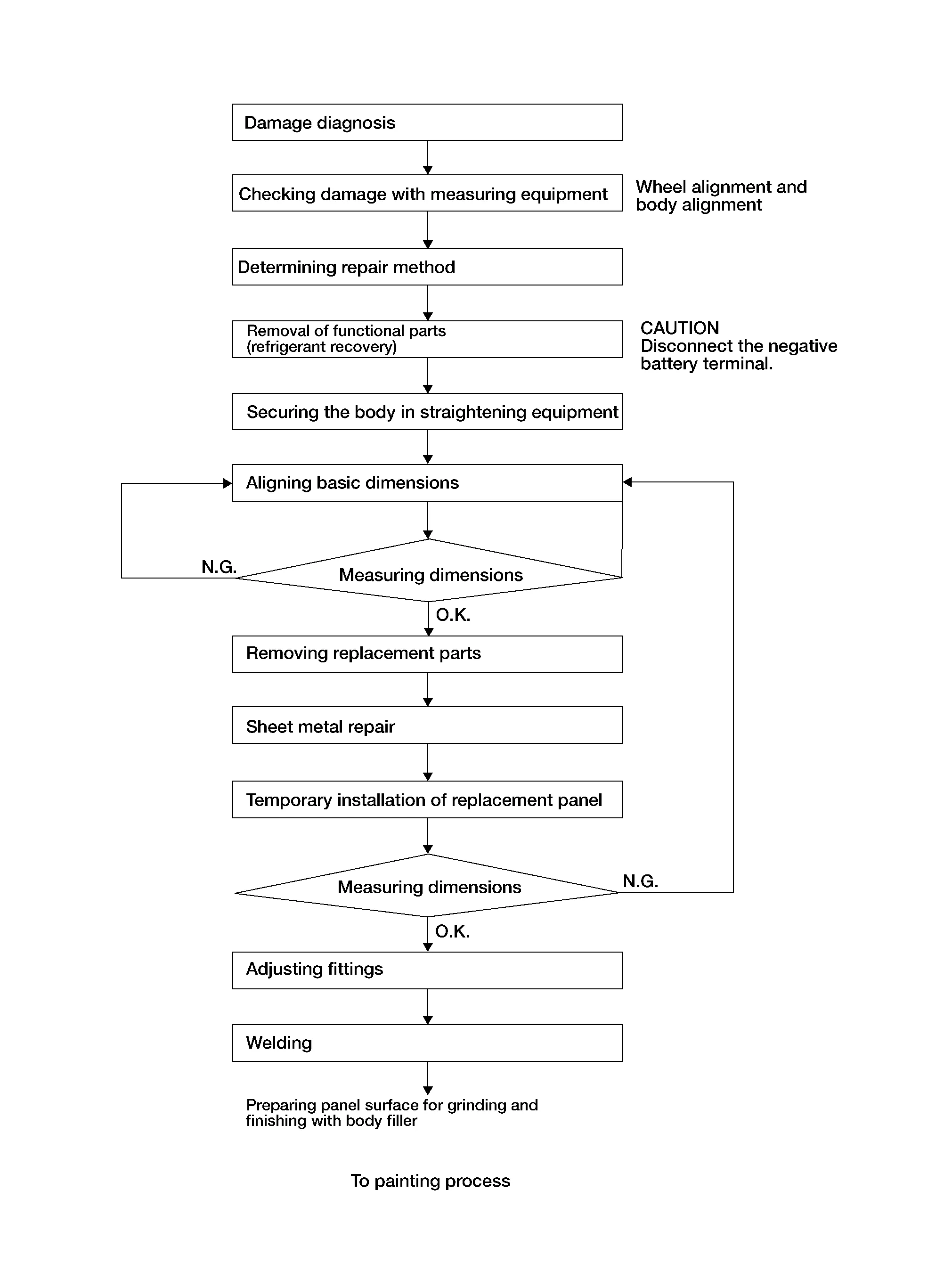
BODY REPAIR FLOWCHART

Damage Diagnosis
The gauge indicates the approximate fuel level in the tank.
The gauge may move slightly during braking, turning, acceleration, or going up or down hills.
The gauge needle returns to 0 (Empty) after the ignition switch is placed in the OFF position.